清华大学&长安大学电池热管理新方案:制冷的同时还兼顾能量回收

来源 | The Innovation Energy
链接 | https://doi.org/10.59717/j.xinn-energy.2026.100134
01
背景介绍
电动汽车锂离子电池需维持 293.15-323.15 K 工作温度、ΔT<5 K,否则会导致性能衰减、热失控等问题;开发有效的电池热管理系统(BTMS)来控制锂离子电池的工作温度是至关重要的,传统 BTMS 多单一功能,缺乏余热回收能力。
02
成果掠影

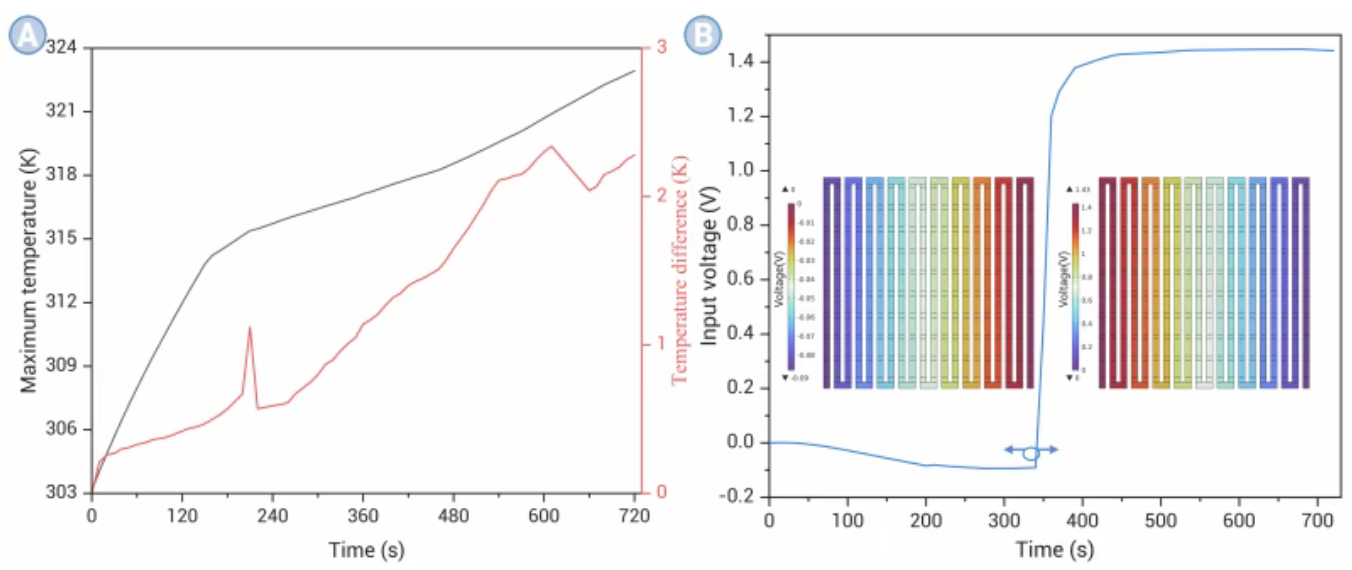
近日,清华大学曹炳阳联合长安大学陈昊团队提出一种整合热电模块(TEM)、相变材料(PCM)和液冷(LC)的混合电池热管理系统(BTMS);核心创新是实现 TEM 的双重功能:1-4C 放电时,PCM + 热管组成的被动冷却系统维持电池最高温度(Tmax)<323.15 K、温差(ΔT)<5 K,TEM 以热电发电机(TEG) 回收余热发电,输出随放电率升高而提升;5C 高放电率下,被动冷却不足,TEM 切换为热电制冷器(TEC) 结合 LC 主动冷却,将 Tmax 从 323.74 K 降至 321.51 K,且 LC 降低 TEC 热端温度以减少能耗。通过340 秒延迟激活主动冷却策略,TEG 发电时间延长 340 秒,主动冷却时长减少 47.2%;优化 LC 质量流量后,3C 放电时系统净能量达最大值53.60 J,为电池热管理提供了兼顾控温效率与能量回收的创新方案。研究成果以“Thermoelectric-based battery thermal management with cooling and energy recovery” 为题,发表于《The Innovation Energy》期刊。
03
图文导读

图1.(A)混合BTMS的物理结构。(B)电池在不同放电速率下的产热速率。

图2.(A)TEG内阻和输出功率对不同热梯度的依赖性。(B)栅格数量对电池Tmax的影响。(C)模型节点。

图3.(A)系统的热性能;(B)TEG的性能;(C)TEG冷/热侧的温度分布特性。

图4.具有不同主动冷却配置的系统性能:(A)电池的Tmax;(B)电池的Tmax;(C)系统输入功率。

图5.实施操作策略后的系统性能:(A)系统的热性能;(B)TEG的输入电压及其温度分布特性。

图6.不同质量流率下系统的净能量。
