电子散热新突破!隔离氮化硼网打造极速传热相变材料
来源 | Composites Part A
链接 | https://doi.org/10.1016/j.compositesa.2025.109187
01
背景介绍
随着现代电子设备的不断小型化和集成化,局部产生的热量变得越来越难以消散。迫切需要开发能够保持最佳工作温度的先进热管理解决方案。在各种解决方案中,基于PCM的冷却系统已经成为一种有前途的策略,受益于紧凑的尺寸,经济可行性,和独特的等温热缓冲能力,通过可逆的相变在预定的温度。石蜡(PW)作为该领域中最广泛使用的PCM而突出,具有合适的相变温度、较高的熔化焓、较低的腐蚀性和易于获得等优点,但其固有的液相泄漏风险和较低的热导率(TC)严重限制了其在高功率密度电子器件中的应用。
02
成果掠影

近日,复旦大学冯嘉春教授提出了一种简单的策略,通过在多晶硅中构建隔离的氮化硼(BN)导热网络来制造具有高导热率的形状稳定的PCM(苯乙烯-乙烯-丁烯-b-苯乙烯)(SEBS)负载石蜡(PW)基体(SEBS/PW)微粒。通过动态共悬浮SP微粒和BN片晶,然后进行凝胶热压,得到连续的BN偏析网络,制得SEBS/PW质量比为20/80和30wt%的复合材料(16.3体积%)BN负载表现出优异的形状稳定性、高焓(129.8J/g),以及增强的面内热导率(1.51 W/(m·K)-分别代表比未填充和随机分散的BN系统提高293%和50%)。当应用于芯片热管理时,该复合材料将工作温度从95 ℃降低到80 ℃,优于传统的硅基热界面材料。由于其结合了低成本材料、可扩展的制造工艺以及在形状稳定性、吸热和散热方面的上级性能,这种复合系统显示出对下一代电子热管理的特殊承诺。研究成果以“Form-stable phase change materials with enhanced thermal conductivity via segregated BN network within SEBS-supported paraffin wax for electronics thermal management”为题发表在《Composites Part A》期刊。
03
图文导读

图1。(a)SP/BN CPCM制备的示意图。(B)从不含BN的乙醇凝固浴中收集的SP微粒的图像。(c)真空过滤和干燥后SP/BN 30固体混合物的图像。

图2.(a1,a2)不同放大倍数下SP微粒的SEM图像。(B)SP颗粒的粒度分布(插图为光学显微镜图像)。

图3.(a)SEBS/PW,(B)SP/BN 10,(c)SP/BN 20,(d1,d2)SP/BN 30,(e)SP/BN 40在不同放大倍数下的断裂表面SEM图像。

图4.(a)SP/BN和SP/BN混合CPCM的面内TC和(B)TCE。(c)SP/BN 30在25、50和60 ℃时的面内TC。(d)SP/BN和SP/BN混合CPCM的面内TC和(e)TCE。(f)SP/BN 30在25、50和60 ℃时的面内TC。

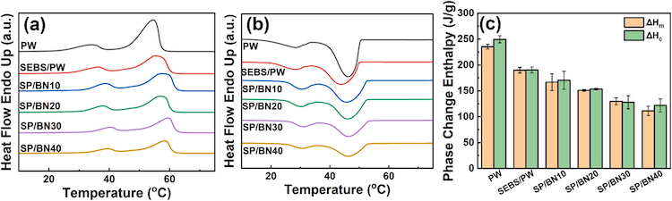
图5. PW和SP/BN CPCM的熔融和B过程的DSC曲线。(c)PW和SP/BN CPCM的熔融焓(Δ Hm)和结晶焓(ΔHc)。

图6.(a)PW、SEBS和SP/BN CPCM的TGA曲线。(B)泄漏试验图像。(c)热循环试验期间SP/BN 30 CPCM的DSC曲线和熔融焓。

图7.(a)SEBS/PW和SP/BN CPCM的应力-应变曲线,(B)断裂伸长率,(c)弹性模量,(d)延伸强度。(e)SP/BN 30在80 ℃烘箱中加热后通过施加外力扭曲、弯曲和伸长的红外图像。
