北大王玮团队:激光加工金刚石嵌入式歧管液冷微通道

来源 | International Journal of Heat and Mass Transfer
链接 | https://doi.org/10.1016/j.ijheatmasstransfer.2026.128420
01
背景介绍
随着高性能计算、5G通讯及第三代半导体(如GaN)功率器件的飞速发展,芯片的功率密度呈现指数级增长,局部热点的热流密度甚至已突破千瓦每平方厘米量级。传统的硅基散热技术由于硅材料本身热导率的限制,在高热流密度场景下面临巨大的“扩散热阻”瓶颈,难以满足下一代高功率电子器件的散热需求。金刚石凭借其超高的热导率被誉为“终极散热材料”,然而,如何将金刚石材料与高效的嵌入式微流体冷却架构,如歧管式微通道相结合,以充分释放其散热潜力,是当前热管理领域面临的重大挑战。
02
成果掠影

近日,北京大学王玮、张驰团队联合北京遥感设备研究所,北京科技大学相关团队成功研制了一种全金刚石基嵌入式歧管微通道散热器(FDMMHS),利用激光加工技术在金刚石衬底上实现了高深宽比的微通道与歧管结构的精密制造与集成,确立了“全金刚石-歧管微通道”协同散热的新范式。该研究系统评估了全金刚石散热器在不同尺寸热源下的散热性能,实现了对超高热流密度热点的极致冷却。经过实测,针对1 mm × 1 mm的热点,该全金刚石散热器成功实现了10,000 W/cm²的超高热流密度散热,芯片温升控制在120 ℃以内;针对3.4 mm × 3.3 mm的大面积热源,在1000 W/cm²的热流密度下,温升仅为42 ℃。其有效对流换热系数最高达到1.3 × 105 W/(m²·K),展现了金刚石微通道极高的散热潜力。
进一步揭示了金刚石材料与歧管微通道架构协同散热的物理机制。研究表明,在处理如GaN HEMT器件微小尺寸的高热流密度热点时,热阻主要由扩散热阻主导。相比于传统的硅基散热器,全金刚石结构极大地降低了扩散热阻,降低幅度超90%,使得热量能够快速扩散至整个微通道区域;同时,结合嵌入式歧管结构带来的流体边界层重构效应,显著强化了对流换热能力。该工作通过实验与理论模型的深度解析,证明了全金刚石微通道技术能够突破传统散热技术的极限,为未来雷达、高能激光器及高功率射频芯片等极端工况下的热管理提供了极具潜力的解决方案。研究成果以“Fully diamond-based embedded manifold microchannel heat sink: Achieving ultra-high heat flux cooling” 为题,发表于《International Journal of Heat and Mass Transfer》期刊。
03
图文导读

图1. FDMMHS热源结构及背面:(a)FDMMHS俯视图;(b)通道示意图;(c)1 mm × 1 mm热源;(d)3.4 mm × 3.3 mm热源。

图2. FDMMHS的制作工艺。

图3.(a)金刚石歧管通道的SEM图像;(b)金刚石微通道的SEM图像;(c)金刚石散热器的歧管层(左)和微通道层(右)的照片。

图4.(a)测试样品的示意图;(b)热测试系统的示意图;(c)测试样品的顶视图;(d-e)金刚石微通道的横截面SEM和光学显微镜图像。

图5.(a)等效散热模型示意图;(b)通过对分迭代法计算对流传热系数的程序;(c)CFD预测的加热区域的归一化局部对流系数分布,显示出中等变化(h\havg = 0.79-1.21)。

图6.不同流速下FDMMHS的温升(ΔT):(a)1 mm × 1 mm热源;(b)3.4 mm × 3.3 mm热源。图6(B)中的水平误差条表示热通量的传播不确定性。温度的不确定性小于符号大小,因此省略了误差条。

图7.热通量和heff之间的关系。(a)1 mm × 1 mm热源的FDMMHS;(b)3.4 mm × 3.3 mm热源的FDMMHS。阴影区域表示heff的不确定性。

图8.热阻和Nueff作为Re的函数。(a)1 mm × 1 mm热源的FDMMHS;(B)3.4 mm × 3.3 mm热源的FDMMHS。

图9.硅基和金刚石基散热器的热阻分布比较。(a)1 mm × 1 mm热源的热阻分布;(B)3.4 mm × 3.3 mm热源的热阻分布。

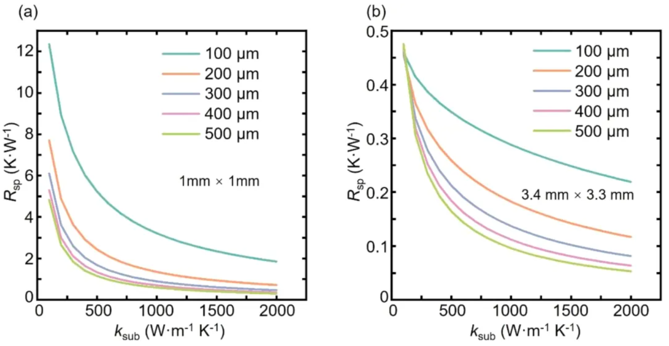
图10.基于分析模型的扩展热阻Rsp的灵敏度分析。(a)针对1 × 1 mm²热点配置计算的不同衬底厚度下Rsp随衬底热导率ksub的变化;(b)针对3.4 × 3.3 mm²大面积配置计算的Rsp随衬底热导率的变化。

图11.总热阻对两种热源尺寸的歧管材料选择的敏感性将热阻归一化为具有k歧管热导率的玻璃歧管基线,阴影带表示常见歧管材料(玻璃、蓝宝石、Si、SiC和金刚石)的代表性热导率范围。实验结果对应的最大流量被选择为两个热源。

图12.所提出的FDMMHS和实心金刚石板基线之间的比较:(a)显示集成对流冷却路径的FDMMHS的示意图和电阻网络;(B)金刚石板基线的示意图和电阻网络(实心金刚石散热片+ TIM +外部冷板),突出了附加的界面电阻R1 D、TIM;(c)1 mm × 1 mm热点配置的跨平面有效热导率keff,cross与热通量的关系;和(d)交叉平面有效导热系数keff,3.4 mm × 3.3 mm大型热源配置的交叉与热通量。金刚石板基线通过tTIM = 50 µm,kTIM = 5 W·m ⋅K ⋅,以及具有heff =104 W/m²/K的外部散热器。

图13.文献[18,34,36,41 -51]中微通道冷却方法的基准。
04
作者信息

王玮,北京大学博雅特聘教授,长江学者特聘教授、国家卓青,微纳加工技术国家级创新团队学术带头人;研究领域:聚合物微米纳米加工技术、临床微纳系统技术、微系统集成与热管理技术;在Lab Chip、IEEE MEMS、ECTC等领域重要期刊和会议上发表学术论文190余篇,授权发明专利40余项(美国专利2项)。担任微米纳米加工技术全国重点实验室主任,中国微米纳米技术学会副秘书长,中国仪器仪表学会微纳器件与系统技术分会、中国机械工程学会微纳制造技术分会、中国微米纳米技术学会微纳流控技术分会和微纳米制造及装备分会等学会理事,国家集成电路标准委员会委员、特种元器件标准委员会委员(微系统专项组组长),《Microfluidics and Nanofluidics》副主编、《Microsystems & Nanoengineering》编辑等社会和学术职务。

张驰,助理研究员,研究领域: 电子系统热管理与三维集成技术;2019-2022年斯坦福大学机械工程系做博士后,主要从事基于相变换热的热管理与集成封装工艺研究。
