0.7mm 超薄柔性热管!可穿戴设备散热新方案

来源 | International Communications in Heat and Mass Transfer
链接 | https://doi.org/10.1016/j.icheatmasstransfer.2025.110353
01
背景介绍
随着 5G 通信技术的大规模应用,电子设备(折叠手机、可穿戴设备、VR 眼镜)向小型化、柔性化、高集成化发展,功率密度持续提升,传统冷却方案(石墨导热垫、常规热管)因刚性结构无法适应复杂几何形状和动态变形场景,且散热效率难以满足需求。因此,开发兼具高效散热、轻薄、柔性、稳定可靠的热管理技术成为关键课题。
02
成果掠影

近日,西安交通大学杨小平、马祥等团队提出了一种新型的超薄柔性回路热管(UFLHP)蒸发器厚度仅为0.7 mm。采用梯形锯齿状镍毡主芯和氧化螺旋编织铜网(SWM)次级芯,通过单层 / 双层 SWM 实验及多操作参数研究,发现双层次级芯 UFLHP 表现最优,热通量可达7 W/cm²、热阻低至 0.987 K/W、等效导热系数达 24204.4 W/(m・K),即使在 90° 弯曲状态下仍能稳定处理 5W 热输入(热阻 2.22 K/W);建立的理论模型可预测稳态温度和热阻,高功率下蒸发器温度预测误差小于 15%,为可穿戴设备高效热管理提供新方案。研究成果以“A novel ultra-thin flexible loop-type heat pipe for application in wearable electronic devices cooling”为题发表在《International Communications in Heat and Mass Transfer》期刊。
03
图文导读

(a)UFLHP的组装过程

(b)UFLHP在VR眼镜中的示意图

(c)UFLHP的实物图
图1. UFLHP的结构和物理表示。

图2.蒸发器的物理图像。

图3.镍毡的电子显微镜图像。

图4.副芯的SEM图像。

图5.双层二次吸液芯结构示意图及实物图。

图6.编织铜网的液体吸收曲线。

图7.实验系统示意图。

图8.用于性能测试的角度示意图。

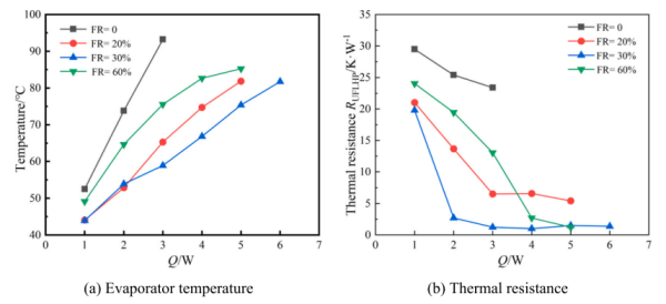
图9.不同填充率下UFLHP热性能的比较(α = 90 μ m,β = 0 μ m,n = 1)。

图10.不同旋转角度(β = 0 °,Q = 4 W,n = 1)下的UFLHP稳态温度分布。

图11.在不同旋转角度(β = 0 °,Q = 4 W,n = 1)下的UFLHP稳态温度分布。

图12.在不同加热功率下(α = 90°,β = 0°),UFLHP的温度。

图13.不同倾角(β = 0°)下UFLHP的传热特性。

图14. UFLHP在不同弯曲角度(α = 90°)下的传热性能。

图15.建模过程示意图。

图16.(a)n = 1和(b)n = 2时(FR = 30%,α = 90°,β = 0°)实测温度和模拟温度的比较。

图17.不同管径(FR = 30%,α = 90°,β = 0°)下的蒸发器温度预测值。

