针式液滴微流控技术,芯片散热效率提升36.86%
来源 | Applied Materials Today
链接 | https://doi.org/10.1016/j.apmt.2025.102879
01
背景介绍
随着电子设备向小型化、高集成度方向快速发展,高性能电子产品、数据中心及超级计算系统等场景的功耗持续攀升,高效散热已成为保障设备可靠性与运行稳定性的核心挑战。研究表明,电子芯片工作温度每升高 1℃,故障率便会增加 4%,凸显了 thermal 波动对电子设备的显著影响。
传统热管理方案(如相变材料,PCMs)虽因成本低、操作简便被广泛应用,但其存在固有缺陷:多数 PCMs的热导率低于1W/mK,导致热传递效率低下;且仅在相变温度区间内有效,超出该范围后散热能力急剧下降,难以满足高功率设备的持续散热需求。
磁流体作为一种智能材料,由磁性纳米颗粒(如铁、镍、钴)分散于载液中形成,在外部磁场作用下可通过纳米颗粒的链状排列调控热导率与流体流动,具备动态、靶向散热的潜力,被视为传统方案的理想替代材料。然而,磁流体的实际应用受限于三大问题:颗粒沉降与团聚,导致均匀性下降、磁响应性减弱;磁场作用下黏度变化复杂,限制流体流动性;长期稳定性不足,影响散热效果的持续性。
为此,需开发兼具磁流体动态调控优势与长期稳定性的新型材料,以突破现有热管理技术的瓶颈,满足下一代高性能电子设备的散热需求。
02
成果掠影

近日,宁波诺丁汉大学任勇教授、王静与中国科学院宁波材料所程昱川研究员等人合作,开发了一种基于针式微流控技术的高导热铁磁流体微胶囊(OMF-HDDA)。研究通过基于针头的双乳液微流控技术,成功制备了以油基磁流体(OMF)为核心、己二醇二丙烯酸酯(HDDA)为壳层的高导热磁流体微胶囊(OMF-HDDA),并系统验证了其在热管理领域的应用潜力,主要成果如下:
2.1 微胶囊的制备与特性
精准调控:利用微流控技术实现了微胶囊尺寸的精确控制,平均直径为 406.87 μm,尺寸变异系数(CV)低于 5%,确保了性能的均一性。
结构优势:HDDA 壳层有效解决了传统磁流体的颗粒沉降与团聚问题,同时保留了磁响应性。通过调节内相、中间相和外相的流速,可灵活调控微胶囊的核壳尺寸与壳层厚度,其中中间相流速是影响壳层厚度的关键因素。
2.2 核心性能表现
热学性能:在 300 mT 磁场下,微胶囊的热导率达到 1.232 W/mK,显著优于传统相变材料;其热性能受尺寸、温度和磁场强度影响,较大尺寸的微胶囊因界面热阻降低而表现更优,且在宽温区(0–150℃)内稳定性良好。
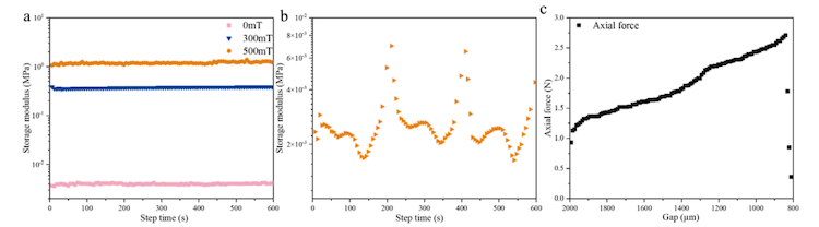
力学性能:在 300 mT 直流磁场下,微胶囊的刚度提升至约 1 MPa,较无磁场条件提高近 1000 倍,展现出磁控可调的机械特性。磁响应与能量转换:微胶囊具有超顺磁性,在交变磁场下可通过光热效应实现能量转换(温度升至约 40℃),验证了其能量调控潜力。
实验与模拟结果显示,OMF-HDDA 微胶囊在芯片冷却中较传统冷却液(如水)的散热效率提升 36.86%,且磁场强度越高,冷却效果越显著。稳定性与可靠性:经过 100 次热循环后,微胶囊的质量损失低于 1%,泄漏率极低;不确定性分析表明各项性能测试的相对误差均在 5% 以内,验证了结果的可靠性。该研究通过微流控封装策略,将磁流体的动态热调控能力与壳层的稳定性结合,为下一代高性能电子设备的热管理提供了环保、高效的解决方案。其可规模化制备的特性与可定制的性能,有望推动智能冷却技术在数据中心、超级计算等领域的应用。研究成果以“Needle based droplet microfluidic synthesis of high thermal conductivity Ferrofluid microcapsules for thermal management”为题发表在《Applied Materials Today》期刊。
03
图文导读

图1. (a) 基于针的微流体装置。(b)用于形成双乳液的微通道结构。

图2. 实验装置示意图 。

图3. 热管理系统的3D模型。

图4.(a)高度均匀的球形 OMF-HDDA 微胶囊(b)生成的微胶囊,内径di=348.16 μm、外径d0=406.87 μm(c)单个完整的 OMF-HDDA 微胶囊及(d)扫描电镜下受压后的状态(e)OMF-HDDA 微胶囊的扫描电镜图像(上方为受压状态,下方为完整未破损状态)OMF-HDDA 微胶囊的能谱分析:(f-h)分别为碳、氧、铁元素的分布(i)总谱分布图。

图5.(a)在中间相流速Vm=0.01 m/s、外相流速V0=0.08 m/s时,内相流速对微胶囊尺寸的影响(b)在内相流速Vi=0.002 m/s、外相流速V0=0.08 m/s时,中间相流速对微胶囊尺寸的影响(c)在内相流速Vi=0.002 m/s、中间相流速Vm=0.01 m/s时,外相流速对微胶囊尺寸的影响 。

图6. OMF-HDDA 微胶囊的磁滞测试。

图7.(a)有无磁场条件下 OMF-HDDA 微胶囊(500μm)的重量变化(b)有无磁场条件下 OMF-HDDA 微胶囊(500μm)的重量变化率(c)OMF-HDDA 微胶囊的差示扫描量热分析结果(d)常规条件下 OMF-HDDA 微胶囊的热导率(f)常规条件下 OMF-HDDA 微胶囊的热扩散系数(e)0-300mT 磁场环境下 OMF-HDDA 微胶囊的热导率(g)0-300mT 磁场环境下 OMF-HDDA 微胶囊的热扩散系数。

图8.(a)直流磁场下 OMF-HDDA 微胶囊的储能模量(b)不规则交变磁场下 OMF-HDDA 微胶囊的储能模量(c)OMF-HDDA 微胶囊可承受的压缩力。

图9.(a)将 OMF-HDDA 微胶囊排列成心形并置于交变磁场线圈中在交变磁场作用下,利用红外热像仪监测微胶囊随时间的热行为和温度变化,观测时间点分别为:(b)施加交变磁场后即刻(t=0 min)(c)t=5 min时(d)t=8 min时(e)t=10 min时。

图10.(a)模型验证(b)网格尺寸验证(c)OMF-HDDA 微胶囊散热模拟的时间步长验证。

图11.四种填充材料的系统热管理能力。

图12.(a)芯片散热实验系统(b)散热过程中的温度变化(误差棒基于三次重复实验的标准偏差)。
