新型水凝胶毡助力光伏电站降温与生态恢复
来源 | Advanced Materials
链接 | https://doi.org/10.1002/adma.202501698
01
背景介绍
随着全球光伏装机量爆发式增长,电站占地面积大且多位于沙漠地区,其能源效率与生态影响成为关键问题。光伏面板的量子效率随温度升高显著下降,但现有冷却技术难以满足结构简单、低成本、高冷却功率的经济性要求:主动冷却能耗高,被动冷却效率低。大多研究集中在太阳能电池板的冷却性能上,而忽略了水分蒸发也会降低环境温度,提高湿度,有利于光伏电站周围的生态恢复。空气中的水分循环与光伏电池板相结合,不仅可能有利于光伏电池的冷却,而且还可能对环境产生积极的生态影响,但材料的蒸发和水分捕获能力至关重要。
02
成果掠影

近日,武汉大学刘抗教授、陈朝吉教授团队提出了全聚合物吸湿毡的概念,每根纤维由高度定向的聚乙烯(PE)微纤维芯和几微米厚的聚丙烯酰胺(PAAm)水凝胶壳形成。聚合物的特性赋予了翅片超轻和抗腐蚀的特性,该材料具备超轻、耐腐蚀特性,被动传热系数高达1100 W.m⁻².K⁻¹,这是被动冷却领域的最高值。实验表明,其可使太阳能电池降温28°C,输出功率提升20.4%,再生速度仅为蒸发时间的1.3倍,比平面快3.6倍。同时,将PE/水凝胶毡应用于光伏板,使光伏板的工作温度降低了28 °C,输出功率提高了20.4%。此外,毡还使光伏电站的环境湿度提高了24%,环境温度降低了2.6 °C,显示出聚合物吸湿翅片在高效稳定的光伏冷却中的应用以及光伏技术在生态修复中的应用。研究成果以“All-Polymer Polyethylene-Hydrogel Felt for Efficient Evaporative Cooling and Ecological Restoration in Photovoltaic Power Plants”为题发表在《Advanced Materials》期刊。
03
图文导读

图1. 全聚合物毡在光伏电站中的水分循环工作原理。a) PE/水凝胶毡辅助下的热质传递示意图;b) PE/水凝胶毡结构示意图;c) PE/水凝胶纤维的微观结构;d) 基于能量角度的水分调控原理。

图2. PE/水凝胶毡的结构表征.a) PE/水凝胶毡在植物活体叶片上的实物照片;b) PE纤维与PE/水凝胶纤维的纵向视图;c) PE纤维与PE/水凝胶纤维的横截面视图(蓝色染色显示Br元素分布);d) 通过原位拉曼光谱表征PE/水凝胶纤维径向组分分布:界面层同时存在PAAM和PE特征峰,表明PAAm与PE在该层的互穿网络结构;e) PE纤维与水凝胶层的结合界面;f) X射线显微成像(XRM)显示的PE/水凝胶毡内部结构;g) PE/水凝胶毡与金属散热片的比表面积对比(Al/Cu散热片参数详见表S1);h) PE/水凝胶毡与金属散热片的材料成本对比;i,j) 环境暴露一周后的毡材与铜散热片实物对比图。

图3. PE/水凝胶毡的散热性能.a) 传统散热片与蒸发式散热片工作原理示意图;b) 不同间距下对流散热片与蒸发式散热片的传热系数计算值;c) 表面覆盖PE/水凝胶毡、PE散热片和平板水凝胶膜的加热器温度变化实验数据;d) 单根PE/水凝胶纤维与PE纤维的传热系数对比;e) 不同环境温湿度条件下PE/水凝胶毡的传热系数变化;f) PE/水凝胶毡与已报道被动散热装置的传热系数对比。

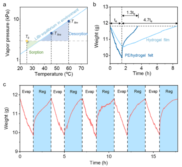
图4. PE/水凝胶毡的再生速度。a) PE水凝胶毡在冷却-再生循环中的水分蒸发与吸收原理示意图;b) PE/水凝胶毡与平板水凝胶膜在45°C加热1.5小时后,置于25°C(60% RH)环境中再生的质量变化对比;c) PE/水凝胶毡在循环蒸发-再生测试中的质量变化曲线。

图5. PE/水凝胶毡在光伏电池蒸发冷却与增强电站生态恢复中的实证。a) 实验装置示意图b) 模拟单太阳光强下,使用PE/水凝胶毡的光伏电池表面温度(未使用毡的对照组数据同步展示);c) 单太阳光强下蒸发冷却对光伏电池输出性能的影响对比;d) 户外实验中PE/水凝胶毡对光伏电池日间效率的提升效果;e) 全日环境蒸汽压与温度变化(2024年11月15日0:00至16日0:00,中国武汉);f) 光伏电池周围环境温压场模拟结果;g) 毡体蒸发速率与环境蒸汽压/温度的关联变化;h) 不同温湿度条件下植物存活率(云图数据通过文献数据拟合获得)
