传热提高3倍!有研集团金刚石/铜材料助力芯片冷却
来源 | Case Studies in Thermal Engineering
链接 | https://doi.org/10.1016/j.csite.2025.105981
01
背景介绍
热量的积累对设备的可靠性和使用寿命构成了重大威胁,高功率芯片的热管理问题日益突出。芯片级微通道冷却已经受到了广泛的研究关注,结构和功能的集成设计可以减少芯片封装的热阻并加速散热,然而,这也对结构的可靠性和运行稳定性提出了更高的要求。大多数微通道散热器由铝/铜制成,与半导体芯片的热膨胀系数有显著差异。因此,在芯片封装过程中需要引入热界面层(热基板)以便于过渡,这一要求可能导致芯片封装内整体热阻的增加。相比之下,用于热管理的金属基复合材料可以更好地与第三代半导体材料匹配,提供更好的热管理性能。目前已经开发了四代热管理材料,从合金发展到金属复合材料,再到铝基复合材料,第四代由金刚石和金属的复合材料代表。金刚石具有卓越的热导率,从2200W/mK到2600W/mK,并且具有低热膨胀系数。通过将其与高热导率金属Cu结合,已经开发出用于热管理的金刚石/铜复合材料(DC),具有降低的热膨胀系数和优越的热导率。具有低线性热膨胀系数和高热导率的热管理材料可以实现芯片的“近结冷却”,而最新一代金刚石/铜(DC)复合材料在微通道相变散热中的应用研究有限。
02
成果掠影

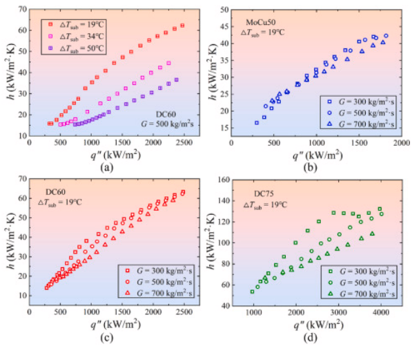
近日,有研集团有限公司有色金属与加工国家重点实验室孙明美、郭宏团队以DC、钼铜等低线性膨胀材料为基材,创新性地制作了三种结构功能一体化开放式微通道热沉(DC60、DC75、MoCu50),以去离子水为操作流体进行流动沸腾实验,结合可视化技术研究其传热特性。结果表明,沸腾过程中,在高热导率网络的影响下,金刚石/Cu微通道表面比MoCu50微通道具有更多的成核位点,使得成核沸腾成为相变传热过程的主导,大大提高了传热效率。 DC75在最高热流密度q" = 4012.14 kW/m²时仍保持绝对优势,与MoCu50相比,DC75传热系数提高了3倍,峰值为127.48 kW/m²K,且未出现干涸现象,底部温度最低,变形量最小,热稳定性强。在段塞流向分层流转变过程中,出现了段塞流-分层流的协同作用,两种流型共存导致压降只有小规模波动,最大压降不超过3.5 kPa。研究成果以“Subcooled flow boiling in diamond/Cu microchannel heat sinks for near-junction chip cooling”为题发表在《Case Studies in Thermal Engineering》期刊。
03
图文导读

图1.低热膨胀系数(CLTE)材料的微观结构扫描电子显微镜图像:(a) MoCu50,(b) DC60,(c) DC75。

图2.流动沸腾测试部件的示意图。

图3.流动回路的示意图。

图4.DC75的表面成核位点:(a) 可视化图像,(b) 示意图。

图5.DC60在质量通量G = 500 kg/m²s时的流动模式:(a) 泡状流,(b) 段塞流,(c) 段塞分层流,(d) 分层流。

图6.传热系数曲线:(a) DC60在不同入口过冷度下的情况;(b) MoCu50,(c) DC60,(d) DC75在不同质量通量下的情况。

图7. (a) 不同热通量下散热器的底部温度;(b) 散热器底部的最高温度和整体温度波动幅度;(c) 散热器材料的变形。
